每天一个知识点:RF - 回波损耗,插损以及群时延
RF - 回波损耗
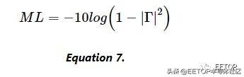
回损只是表示反射系数的另一种方式。它只是反射系数的对数刻度,如下面的方程所示。因此,对于回波损耗的物理意义,您可以参考前面讲的反射系数。
回损与反射系数
RF - 插入损耗/增益
插入损耗表示在通过元件时能量损失了多少,插入增益表示在通过元件时获得了多少能量。它与在s参数项或传输系数中的| S21 |相同。
射频 - 群延迟
群延迟是一个指示器,表示在通过某个组件时波在频率上发生的相位延迟。当信号波经过任何分量时,都会发生一定程度的相位延迟,此外,在大多数情况下相位延迟的程度将根据传输波的频率而变化。
在窄频率范围内工作的器件中,群延迟可能无关紧要,但在大多数宽带器件(如宽带滤波器)中,将群延迟保持在一定值内是很重要的。
大群延迟在器件上的能量(功率)传输方面可能不会引起太大问题,但是它会导致严重的信号失真,这在使用更高阶调制的无线数字通信例如在使用OFDM的系统中变得更加严重。
可能数学形式的定义看起来更清晰,因为数学表达式非常简单,如下面的方程所示。请注意,“延迟”和“群延迟”是不同的。
群时延的定义
我们可以想到几种可能的群延迟模式如下。横轴表示频率,纵轴表示相位(延迟仅带负号,使其适合数学形式的群延迟定义)。
在下面的情况中,您会看到一些非零相位(延迟)值,但所有频率范围内的值都相同。这意味着“频率变化的相变”为零,反过来,它意味着群延迟为零。这是一种想象的情况,你不会在真实器件中看到这种情节。
理想器件的群时延为0
在下面的情况中,您会看到阶段随频率变化而不断变化。但是变化的模式是线性的,因此“频率相变”是一个常数。这意味着群延迟是不变的。
线性系统的群时延是一个常数
以下场景将是最现实的场景。相位保持频率上的频率,频率上的相位变化率(群延迟)也会随频率而变化。
大多数器件的群时延会随频率的不同而不同
RF设计基础:驻波比、回波损耗和失配损耗
了解电压驻波比 (VSWR)、回波损耗和失配损耗,这有助于表征射频 (RF) 设计中的波反射。
当电波在其中传播过程中,遇到的介质的阻抗发生变化时会产生反射。当我们打算将功率从信号链中的一个模块传输到下一个模块时,这些反射是非常不希望的。在本文中,我们将了解两个参数,即驻波比和回波损耗,它们使我们能够表征RF设计中的波反射。我们还将讨论参数化波反射对功率传输的影响的“失配损耗”规范。计算 VSWR 公式
对于短路或开路的传输线,会发生全反射,入射波和反射波的干扰会在传输线上产生驻波。例如图 1 所示。图 3. 振幅变化图。
请注意,包络线的最小值为零伏。我们可以对任意负载重复相同的过程,比如 Γ = 0.5 的负载。这种情况下 36 个不同时刻的电压波形图如图 4 所示。图 4.另一个示例图显示了 36 个实例的电压波形。
这些曲线的包络如图 5 所示。图 5. 示例电压波包络与位置图。
上面的讨论表明,当发生全反射时,包络的最小值为零伏Vmin = 0(图 3)。然而,对于部分反射,Vmin更接近峰值Vmax。在没有反射的理想情况下,Vmax 实际上等于 Vmax。因此,Vmax与 Vmin之比(称为VSWR)与阻抗不连续处发生的反射量有关。在数学语言中,VSWR 定义为:射频回波损耗
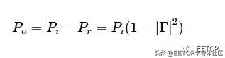
考虑图 6,其中传输线连接到 RF 组件的输入。入射功率为 Pi, 并且“观察”RF组件输入的反射系数Γ。例如,如果|Γ|2=0.1,我们得到:
失配损耗
让我们再检查一次图 6 中的配置。除了反射功率之外,我们还对表征阻抗失配对传输到输出P的功率量的影响感兴趣。首先,假设RF分量的功率增益是单位(G = 1)。换句话说,传递到RF组件输入端的相同功率出现在其输出端。由于阻抗失配会导致一些反射功率,因此会降低传递到RF组件的功率。G = 1时,输出功率Po等于入射功率和反射功率之差:两个端口不匹配时的失配损耗
在图 6 中,我们隐含地假设信号源(未显示)的阻抗与线路特性阻抗匹配。如果不是这种情况,Pr 将重新反射源端的不连续性并影响入射波Pi。例如,当我们通过传输线将源连接到负载时(图 7(a))以及两个级联设备之间的接口(图 7(b)),就会遇到这种情况。图 7. 源通过传输线 (a) 和两个级联设备之间的接口 (b) 连接到负载的示例图。
在这种情况下,失配损耗(以线性项而不是分贝表示)由等式 8 给出。。
失配不确定度
上述示例突出了 RF 应用中的严峻挑战。由于等式 8 中的失配损耗取决于反射系数的相位角,并且注意到在许多实际情况下,只有反射系数的大小是已知的,因此对于实际从输入传输到输出的功率有多少存在一些不确定性. 例如,知道 |Γ1| = 0.1 和 |Γ2| =0.2,失配损耗介于 0.05 dB 和 0.39 dB 之间。由这些上限和下限指定的范围称为失配不确定性。相关问答
(N),额定转速n(N),电枢绕组电阻Ra,励磁电阻Rf,铁损耗P(Fe)...
[最佳回答]1)铜耗:P(铜)=U(N)xU(N)/Rf+[P(N)/U(N)]^2xRa2)电磁功率:P(电磁)=ExI(N)=[U(N)-I(N)xRa]xI(N)=[U(N)-P(N)/U(N)xRa]x...
,励磁回路总电阻Rf=91Ω,额定负载时电枢铁损耗PFe=600W,】...
[最佳回答]励磁电流=220/91=2.42A额定电流=75+2.42=77.42A输入功率P1=220*77.42=17032.4W≈17KW电枢铜损=75²×0.26=1462.5W励磁绕组铜损=2.42²×...
车载收音机rf代表什么线?
车载收音机中的rf代表射频(RadioFrequency)线,它是指传输高频信号的线路,用于连接收音机的天线和调谐器之间。RF线路通常要求具有低损耗、高抗干扰能力和良...
...Ra=0.099Ω,励磁回路电阻Rf=110Ω,2△Ub=2V,附加损耗占额...
[最佳回答]输入功率P1=U*I=220*80=17.6KW输出功率P2=P1*ηN=17.6*0.85=14.96KW损耗Pl=P1-P2=2.64KW励磁电流If=220/110=2A电枢电流Ia=IN-If...
铜铝散热器破碎分选机铜铝损耗大吗
[回答]汽车散热器分离机空调铜铝散热器破碎分选机设备对于废散热器中金属资源的回收及废料处理的问题得到了有效解决,得到了自动化强度高,分离完全,回收质...
BMA是什么意思?
是一种同轴电缆接头。丹阳市华兴电子器材厂,专业生产各式符合欧美标准的低损耗,高性能,射频同轴电缆组件(RFCABLE),半钢电缆组件;半柔电缆组件;射频连...是...
韩国真康天馈测试仪说明书?
韩国真天馈测试仪的特点:1、高精度回波损耗/SWR和故障定位测试能力;高精度地测试RF传输和天线;2、卓越的对测试过程当中信道干扰的抗干扰能力;可选取的RF功...
电平值在多少之间正常?
30dbm说明你信号很好,一般距离无线路由器5米以内,并且无遮挡物才能达到这个信号强度。隔一道墙就要-40dbm以上了。一般-68以上算良好,不会影响网速(周围干...
光谱仪EDXRF测试的不确定度问题是什么?急需赐教
[回答](3)光纤准直器是光纤通信系统的基本光学器件,其作用是把光纤中发散的光束变成准直光,使其以非常小的损耗耦合到光纤中。(4)准直器有方型的,也有圆形...
传导和耦合的区别?
耦合和测试与传导测试的区别传导通过射频线连接RFconnect测试手机的射频参数,其主要是看主板的各项参数是否符合标准;耦合是在暗室里测试整机的射频指标,...
