RF揭秘:散射参数及其类型
作者:ADI现场应用工程师Anton Patyuchenko
问题:
什么是S参数?它有哪些主要类型?
答案:
S参数描述了RF网络的基本特征,其主要类型有小信号、大信号、脉冲、冷模式和混合模式S参数。
引言
本文延续之前的一系列短文,旨在为非RF工程师讲解RF的奥秘。其中一些RF文章如下:“RF揭秘——了解波反射”,探讨了波反射;“如何轻松选择正确的频率产生器件”,探讨了RF信号链中发挥作用的频率产生器件的主要类型。
这一次,ADI将介绍在描述任何RF组件时需要用到的一个最基本术语——散射参数(或S参数)。但是,与该主题的其他很多文章不同,本文不仅会聚焦S参数的基本定义,还会简要概述其在RF工程中常用的主要类型。
基本定义
S参数量化了RF能量是如何通过系统传播的,因而包含有关其基本特征的信息。使用S参数可以将最复杂的RF器件表示为简单的N端口网络。图1显示了一个双端口未平衡网络的例子,该网络可用于表示许多标准RF元件,例如RF放大器、滤波器或衰减器等。
图1.双端口未平衡RF网络
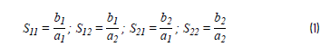
示意图图1显示的波量a是入射在器件端口1和端口2上的电压波的复数幅度。如果使用相应的波量a1或a2依次刺激一个端口,同时另一个端口端接到匹配的负载中,我们就可以根据波量b来定义器件的正向和反向响应。这些数量代表了从网络端口反射和通过网络端口透射的电压波。基于所得复数响应和初始刺激量的比率,我们可以定义双端口器件的S参数,如式1所示:
然后,可以将S参数组成一个散射矩阵(S-Matrix)来反映其所有端口的复数波量之间的关系,由此表示该网络的内在响应。对于双端口未平衡网络,刺激-响应关系的形式如式2所示:
对于任意N端口RF器件,可以类似方式定义S矩阵。
S参数的类型
如果没有明确说明,则“S参数”一词通常是指小信号S参数。它表示RF网络对小信号刺激的响应,量化了线性工作模式下不同频率的反射和透射特性。使用小信号S参数,可以确定基本RF特性,包括电压驻波比(VSWR)、回报损耗、插入损耗或给定频率的增益。
然而,如果不断增加通过RF器件的信号的功率水平,通常会导致更明显的非线性效应。这些效应可以利用另一种类型的散射参数——即大信号S参数——来量化。它们不仅会随着频率不同而变化,而且也会随着刺激信号的功率水平不同而变化。此类散射参数可用于确定器件的非线性特性,例如压缩参数。
小信号和大信号S参数通常均利用连续波(CW)刺激信号并应用窄带响应检测来测量。但是,许多RF器件被设计为使用脉冲信号工作,这些信号具有宽频域响应。这使得利用标准窄带检测方法精确表征RF器件具有挑战性。因此,对于脉冲模式下的器件表征,通常使用所谓的脉冲S参数。这些散射参数是通过特殊的脉冲响应测量技术获得的。
还有一类平时很少谈论但有时可能变得很重要的S参数,那就是冷模式S参数。“冷模式”一词是指有源器件在非活动模式(即其所有有源元件都不工作,例如晶体管结反向或零偏置且无传输电流流动)下获取的散射参数。此类S参数可用于改善带关断状态元件的信号链分段的匹配,这些元件会在信号路径中引起高反射。
到目前为止,为单端器件的典型示例定义了S参数,其中刺激和响应信号均以地为基准。但是,对于具有差分端口的平衡器件,此定义还不够。平衡网络需要更广泛的表征方法,它必须能够充分描述其差分模式和共模响应。这可以利用混合模式S参数来实现。图2显示了混合模式散射参数的一个例子,这些参数组成一个扩展S矩阵,代表一个典型的双端口平衡器件。
图2.双端口平衡RF网络及其混合模式散射矩阵
此矩阵中的混合模式S参数的下标使用如下命名约定:b模式、a模式、b端口和a端口,前两个描述响应端口的模式(b模式)和刺激端口的模式(a模式),后两个指定这些端口的索引号,b端口对应响应端口,a端口对应刺激端口。在示例中,端口模式由下标定义,d表示差分模式,c表示共模模式。但是,在同时具有平衡端口和未平衡端口的更一般情况下,混合模式S矩阵还会有其他元素,下标s描述针对单端端口获得的量。利用混合模式散射参数,不仅可以确定RF器件的基本参数,例如回报损耗或增益,还可以确定用于表征差分电路性能的关键品质因数,例如共模抑制比(CMRR)、幅度不平衡和相位不平衡程度。
结论
本文介绍了散射参数的基本定义,并简要讨论了其主要类型。S参数可用于描述RF器件在不同频率下和对于信号的不同功率水平的基本特性。RF应用的开发高度依赖于描述RF设计的整体结构和组成部分的S参数数据。RF工程师测量或依赖已经存在的S参数数据,该数据通常存储在称为Touchstone或SNP文件的标准文本文件中。当今市场上的大部分常用RF器件都有这种免费提供的文件。
ADI公司提供丰富的集成RF器件组合,它们能够满足广泛应用中的各种严苛要求。为了支持RF工程师并简化目标应用的开发过程,ADI公司围绕RF技术提供完整的生态系统,包括各种RF产品的散射参数、设计工具、仿真模型、参考设计、快速原型制作平台和论坛。
微单就像相机中的特斯拉 佳能EOS R3发布会专访
近日,佳能在线上举行了一场新品发布会,正式发布了EOS R全画幅专微系列最新款旗舰机型EOS R3,并且还发布了RF 16mm f/2.8 STM和RF 100-400mm f/5.6-8 IS USM两支RF卡口的新镜头。这款重量级的全画幅专微新品具备非常强劲的性能,比如搭载新开发的全画幅背照堆栈式CMOS图像感应器、自动对焦/自动曝光追踪下30fps高速连拍以及眼控对焦和6K RAW视频等,都无不让人为之心动。而在发布会后,佳能还与国内多家媒体进行了一次专访,让我们了解到更多关于此次新品以及佳能目前市场情况的信息。以下是此次专访的具体内容:
受访者:
佳能(中国)有限公司 董事长兼首席执行官 小泽秀树
佳能(中国)有限公司 执行副总裁 石井俊幸
佳能(中国)有限公司 影像信息产品企划及营销部 项目副总经理 栗开宇
整体销售额增长30%的原因
针对媒体提问关于不久前二季度佳能财报披露营业额同比增长30%,其中影像业务大涨77.8%,佳能有什么的看法,佳能(中国)有限公司 董事长兼首席执行官 小泽秀树 先生表示,一方面是因为去年同期正处于疫情的阶段,公司的经营、销售收入都是比较严峻的,所以跟去年同期相比是很不错,但还是比较基数起到很大的作用。
另外,中国在疫情发生之后采取了强有力的措施,很好地控制了疫情,因此中国经济从去年第三季度开始探底回升,第三季度、第四季度经济都是持续回升的,应该说这是越来越好的一个趋势。佳能也沾了中国经济向好的光,从去年第三、第四季度,一直到今年第一、第二季度,都是属于直线上升的趋势之中,每个月我们的销售额都会超越上一个月,同比都是增长的,因此业务的回升趋势在很大程度上受了中国经济回升带来的正面的影响。
小泽秀树还提到,去年佳能相继推出了一批相机和镜头的新品,包括EOS R5、R6和RF的镜头,这些都受到了消费者的热烈的追捧,大受好评。推出之初就激起了非常强烈的反响,而且上市之后上述的高端产品在中国都是一机难求的状况,正是出于中国非常旺盛的需求,所以得到了总公司特殊的关照,调拨了更多的产品,但即便是如此,目前在手订单仍然非常巨大,不能够及时地满足客户的需求,这里头既包括EOS R5、R6两款相机,同时也有RF 600和RF 800mm的镜头,很多的客户都是翘首以待,希望尽快地拿到产品并且加以使用。在某种程度上,可能因为订单太多,给我们交付也带来一些问题,给部分用户添了麻烦,正是在几大因素的作用之下,从去年财年的第二季度开始,销售业绩由跌转升,而且这种好的势头一直持续到了第三、第四季度,包括今年的第一季度,第二季度这种影像业务销售收入的增长,仍然在延续之中。
佳能(中国)有限公司 董事长兼首席执行官 小泽秀树
全力支持北京冬奥会
北京2022年冬奥会计划于2022年2月4日正式开幕,对于计较到来的冬奥会佳能也透露已经做好了充分的准备,将全力以赴为新闻媒体、专业的摄影师提供支持。
同时,小泽秀树先生也谈到,佳能的历史跟体育是非常有渊源的,佳能力求更快,捕捉、追踪更快的物体,因此像奥运会是自不必说,包括现在举行的全运会,以及明年要在杭州举行的亚运会,佳能的摄影器材都能够发挥自己的作用,大显身手。可以说佳能在拍体育赛事,还有包括鸟类在内的动物,等等这些快速移动的物体方面具有独特的优势。
已经正式发布佳能EOS R3特点之一就是高达每秒30张的快门的速度,而且在追踪方面,除了过去我们就能做到的对鸟的追踪之外,还增加了对汽车和摩托车的追踪的功能。很遗憾,在东京奥运会的期间,EOS R3还没有正式发布上市,但是现在我们已经做好了准备,无论是北京的冬奥还是明年9月在杭州举行的亚运会,你们都会看到EOS R3会发挥自己的作用,同时也希望各位能够使用EOS R3留下自己精彩的作品,让它大显身手。并且,明年杭州亚运会,佳能已正在跟组委会洽谈赞助事宜,而且我本人已经决定要赞助杭州亚运会,接下来只欠签字了,明年在举行的一系列赛事之中,佳能全面地支持新闻媒体和专业的摄影师做好他们的工作。
EOS R3是一款拍照与视频兼具的高端相机
这次全新发布的佳能EOS R3采用新开发的2410万像素全画幅背照堆栈式CMOS图像感应器,但相比起一些高像素的机型来说像素仍算不上太高,关于媒体提问的佳能为何将EOS R3的传感器定在2410万像素,佳能(中国)有限公司 影像信息产品企划及营销部 项目副总经理 栗开宇 先生分析道:像素并不是相机的一个唯一的重要指标,相机的一个功能它要参考不同的方面,我们要最重要的是看这个产品它的定位,它的目标用户是什么。以这次的EOS R3为例,它有非常高的速度,还有非常好的高感的表现,还有非常强大的暗光对焦的功能,那么这样的功能是非常适合拍体育新闻以及生态摄影。那么EOS R3的目标用户首选就是这样的用户群体,对于这样的用户群体来讲,像素重要不重要?当然重要。但是大家知道佳能在旗舰单反相机里面,EOS-1D系列,比如说EOS-1DX Mark III,像素是2000万像素级别,但也广受专业体育摄影师的好评,很少有人说我们的EOS-1D系列相机的像素不够。
佳能(中国)有限公司 影像信息产品企划及营销部 项目副总经理 栗开宇
那么对于EOS R3来讲,其实它的像素已经提升到了2410万像素,相对佳能的旗舰单反EOS-1DX Mark III相比还是提高了。而且对于画质来讲,画质不光是看像素,另一方面要看它的感应器的情况、处理器的情况以及光学镜头的情况。这次EOS R3使用的是佳能自主研发的全画幅背照堆栈式的感应器,它的速度非常快,同时它的高感非常好,同时配合我们的高素质的光学镜头,能带来非常好的画质表现。我们有一个内部的数据可以供大家参考,我们按照CIPA这个行业标准,它有一个这样的分辨率标板,然后参考ISO的国际组织标准,EOS R3的分辨率,分辨率媲美佳能3000万像素的EOS 5D IV。所以在功能的均衡和平衡上,其实EOS R3做得是非常好的。大家知道EOS R3可以实现最快30张每秒的Raw格式,14Bit Raw格式的连拍,这个速度是在佳能里最快的。同时它的感光度,在标准感光度下它就可以实现ISO102400,扩展可以到204800,这样的高感低噪点的表现也是非常出色的,另外暗光环境下,佳能相机中EOS R3在最暗的环境下也能实现自动对焦EV -7.5。所以,EOS R3是在速度、高感光度,以及暗部对焦,和像素做一个更好的平衡。
栗开宇对于为何选用这款新CMOS感光元件时还提到,EOS R3的2400万像素足以支持拍6K RAW视频,可以实现6K 60P的RAW格式的内录,这也是对视频拍摄来讲是一个非常高、非常惊人的指标,所以像素并不是唯一的选择。
对于眼控对焦非常有信心
眼控对焦是佳能EOS R3非常亮眼的一项新功能,在对焦精度上,尤其是部分女生在带美瞳的情况的表现如何?针对这个问题栗开宇表示,首先眼控对焦其实是对于摄影师裸眼或者是戴眼镜,包括隐形眼镜都是有效的,但是基于每个人的眼睛的情况不一样,特别佩戴比如说美瞳时,不同眼镜本身都不一样,它的形状、颜色、透光率都是有一些区别的,这里面多少会对我们的眼控的精度有一些影响。所以我们在推荐大家使用眼控对焦的时候,建议大家在使用前一定要先注册、校准。
EOS R3的相机眼控有6组校准数据,每一个摄影师戴眼镜的时候可以去校准一组数据,不戴眼镜的时候,再校准一组数据,这两组数据同时可以支持横拍,比如我们拿相机横拍,还有竖拍,或者有些人习惯这样的竖拍,都可以。这三个方向的校准数据可以存在一个数据里,但是戴不戴眼镜是不一样的,所以戴眼镜一组数据、不戴眼镜一组数据,至于美瞳是不是有影响,这要基于具体的眼镜情况来看。另外,对于EOS R3的眼控对焦,佳能非常有信心。
佳能EOS R3全画幅专微相机
其实眼控对焦在佳能1992年最早就开始在EOS 5的胶片相机里面出现了,那么到现在已经过去很长时间,这段时间其实技术进步是非常快的。EOS R3得益于数字影像处理技术,得益于现在双核对焦系统的提升,以及电子取景器里面的显示技术的提升,这些方面综合到一起,对眼控的实用性就提升非常大。现在的EOS R3的眼控对焦可以做到全屏眼控对焦,原来佳能最高最顶级的眼控对焦性能在胶片相机里是1998年的EOS 3,EOS 3是在整个取景器的中间,椭圆形的区域会有45个对焦点都可以实现眼控,集中在中间。现在EOS R3是完整的100%的屏幕,从边到角都是可以实现眼控对焦的,所以它的范围提升得很快。同时,这个眼控的速度反应速度比之前提升得更快,另外准确度比之前提升了很多。所以从范围、从速度、从精度上,EOS R3的眼控对焦都是非常好的一个提升。
单反与微单依然同等重视
佳能EOS R3已经正式发布,之后面对就将会是消费者和市场的真实反应,那么EOS R3上市之后的情况以及佳能相机业务有怎样的预期?对于这个问题,佳能(中国)有限公司 执行副总裁 石井俊幸 先生给出了这样的回答:我平时经常思考的一个问题,就是如何让行业得到发展,如何让影像文化得到普及。从这个意义上来说,去年我们发布上市的EOS R5、R6发挥了很好的效果,因为它吸引了更多的人来使用,并且在使用之后都觉得非常的满意,应该说EOS R5、R6表现是令人高兴的。这次我们所发布的EOS R3这款产品,是EOS R5、R6产品的进一步地提升,是它的进化,而且从等级上来说又更高了一级。同时也可以看到自从三年前我们首次推出RF镜头之后,RF的镜头群也在不断地成熟之中,镜头的矩阵也正在形成。因此我们希望本次EOS R3的发布能够让更多的人关注RF的系统,为摄影行业的发展和影像文化的普及做出自己的贡献,我也相信能做到这一点。
佳能(中国)有限公司 执行副总裁 石井俊幸
以往的体育赛场,基本上都是顶级旗舰级微单的天下,比如佳能EOS-1D X Mark III,但至于EOS R3发布会微单是否会彻底取代单反,石井俊幸也给出了自己的答案。他表示在平常工作和接受采访的时候,我经常是两手,一个拿无反,一个拿单反,来跟大家进行交流。对于佳能来说,就像人的两只手一样,都是必不可少,十分重要的,没有哪个比哪个更重要这么一说。但是另一方面从研发角度来看的话,现在佳能是倾尽全力在进行无反相机的研发。即便是在镜头方面是一样,我们希望尽早地打造全面成熟的RF镜头矩阵。
像单反,它因为光学取景器,所以可靠性是更高,而且正因为它没有液晶显示屏,所以电池的续航能力要高很多。另外如果是无反微单相机的话,一个是轻量化,另外一个因为它是采用短后对焦距离,所以间距会更短,因此在相机的设计的自由度方面会有大幅度的提升。在研发方面,佳能确实是转向RF系统的研发,但是在心中对两种相机都是同等重视。我经常用这么一个比喻,如果说微单是特斯拉的话,单反就像法拉利一样,无论是哪一款都有忠实的爱好者,有忠实的用户。
但是大家都知道现在都在谈碳中和的问题,我们要摆脱对碳的依赖。所以正像特斯拉现在大行其道一样,我想从长远的趋势来说,会逐步地向无反微单的方向去转型,但是在目前这个阶段,佳能对两者都是同等重视。
相关问答
任意m.n属于Rf[mn]=f[m]f[n]1/2且f[1/2]=0求f【1】谢谢了,_...
[最佳回答]f【1】=f【2*1/2】=f【2】f【1/2】=f【2】*0=0查看原帖>>
射频开关有哪些作用呢?
射频导纳料位开关因测量不受介质密度影响、耐温高等优点被广大厂商所选用,目前被认为是通用性最强、性价比最高的固体类料位检测产品。射频导纳料位开关的工作...
价格裸车12万,有什么推荐的SUV吗?
...3.动力方面,搭载了1.8T涡轮增压发动机最大功率120kw,最大扭矩250牛米,300牛米。六.变速器使用6速手动变速器以及7速湿式双离合变速器。前悬挂使用麦弗逊独...
博士研究生电力系统分析有哪些具体内容呢?-Lq0RFkx8ht的...
第一部分考试说明一、考试性质电力系统分析是电气工程一级学科博士生入学考试的专业课选考课程之一。考试对象为已获得硕士学位者和符合博士生...
最近网传很多大公司大佬都开始杀入区块链了,区块链投资靠谱吗?
现在区块链火了,但是谁在投资区块链,我们做了整理。谁在投资区块链?区块链火了。然而,区块链的火却有一点点奇怪:作为商业嗅觉最敏感的相关方,一级市场...截...
IPS的屏幕和矩阵屏幕不同-ZOL问答
从生态到航空你一定需要有一个RF200-800评论29AGONAG246FK显示器评测:540Hz疾速刷新职业选手优选评论1iPhone用户都该学:隐藏敏感程序丢手机/查手机都.....
在线教育面对家长如何挖需?
感谢邀请在线教育经历了从远程教育平台、培训机构转战线上,到目前的互联网公司涉足在线教育三个阶段,总结来看,在线教育行业目前主要面对5个痛点。图片来自...
什么是4D(DRG、DLG、DOM、DEM)数据?-汽车问答-58汽车
[回答]以下有不同的说法,但是意思都很相近。一、DOM(数字正射影像图):利用数字高程模型对扫描处理的数字化的航空相片、遥感影像,经逐个像元纠正,按图幅...
怎样把声音转换杜比ac3
1994年,日本先锋公司宣布与美国杜比实验室合作研制成功一种崭新的环绕声制式,并命名为“杜比AC-3”(DolbySurroundAudioCoding-3)。1997年初,杜...
热玛吉的工作原理是什么?-Chloe.Tanaka的回答-懂得
热玛吉工作原理:是非侵入式无创的,通过手柄上的治疗头传递射频(RF)能量,利用专利的射频技术安全地加热深层皮肤。热量有助于刺激新的胶原蛋白生长,...
